题目内容
已知等差数列{an}的前n项和为Sn,且满足a2+a7+a8+a11=48,a3:a11=1:2,则
【答案】分析:由等差数列的性质结合a2+a7+a8+a11=48可求a7,然后由a3:a11=1:2可求a3,a11,进而可求公差d,首项a1,结合通项公式及求和公式求出an,S2n,代入可求极限
解答:解:由等差数列的性质式可得,a2+a7+a8+a11=a6+2a7+a8=4a7=48
∴a7=12
∵a3:a11=1:2,a3+a11=2a7=24
∴a3=8,a11=16
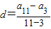
∴
=1,a1=6
∴an=a3+(n-3)×1=n+5,S2n=
=2n2+11n
∴
=
=
=
=
故答案为:
点评:本题主要考察了等差数列的性质、通项公式及求和公式等知识的综合应用,及
型极限的求解,解题的关键是熟练应用数列的基本知识.
解答:解:由等差数列的性质式可得,a2+a7+a8+a11=a6+2a7+a8=4a7=48
∴a7=12
∵a3:a11=1:2,a3+a11=2a7=24
∴a3=8,a11=16
∴
∴an=a3+(n-3)×1=n+5,S2n=
∴
故答案为:
点评:本题主要考察了等差数列的性质、通项公式及求和公式等知识的综合应用,及
练习册系列答案
相关题目