题目内容

已知圆,圆,动圆与已知两圆都外切.

(1)求动圆的圆心的轨迹的方程(2)直线与点的轨迹交于不同的两点的中垂线与轴交于点,求点的纵坐标的取值范围.

 

【答案】

(1)动圆的圆心的轨迹的方程为:;(2)

【解析】

试题分析:(1)两圆外切,则两圆圆心之间的距离等于两圆的半径之和,由此得将两式相减得:

由双曲线的定义可得轨迹的方程;

(2)将直线的方程代入轨迹的方程,利用根与系数的关系得到的中点的坐标(用表示),从而得的中垂线的方程。再令得点的纵坐标(用表示)。根据的范围求出点的纵坐标的取值范围.

(2)题中要利用及与双曲线右支相交求的范围,这是一个易错之处

试题解析:(1)已知两圆的圆心、半径分别为

设动圆的半径为,由题意知:

所以点在以为焦点的双曲线的右支上,其中,则

由此得的方程为:                        4分

(2)将直线代入双曲线方程并整理得:

的中点为

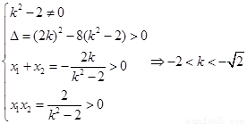
依题意,直线与双曲线右支交于不同两点,故

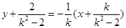
的中垂线方程为:

得:                    12分

考点:1、两圆外切的性质;2、双曲线的定义及方程;3、直线与圆锥曲线的关系

 

练习册系列答案
相关题目

违法和不良信息举报电话:027-86699610 举报邮箱:58377363@163.com

精英家教网