题目内容
已知圆C:x2+y2+2x-4y+3=0.(1)若圆C的切线在x轴和y轴上的截距相等,求此切线的方程;
(2)从圆C外一点P(x1,y1)向该圆引一条切线,切点为M,O为坐标原点,且有|PM|=|PO|,求使得|PM|取得最小值的点P的坐标.
【答案】分析:(1)当截距比为0时,根据圆C的切线在x轴和y轴的截距相等,设出切线方程x+y=a,然后利用点到直线的距离公式求出圆心到切线的距离d,让d等于圆的半径r,列出关于a的方程,求出方程的解即可得到a的值,得到切线的方程;当截距为0时,设出切线方程为y=kx,同理列出关于k的方程,求出方程的解即可得到k的值,得到切线的方程;
(2)根据圆切线垂直于过切点的半径,得到三角形CPM为直角三角形,根据勾股定理表示出点P的轨迹方程,由轨迹方程得到动点P的轨迹为一条直线,所以|PM|的最小值就是|PO|的最小值,求出原点到P轨迹方程的距离即为|PO|的最小值,然后利用两点间的距离公式表示出P到O的距离,把P代入动点的轨迹方程,两者联立即可此时P的坐标.
解答:解:(1)∵切线在两坐标轴上的截距相等,
∴当截距不为零时,设切线方程为x+y=a,
又∵圆C:(x+1)2+(y-2)2=2,
∴圆心C(-1,2)到切线的距离等于圆的半径
,
即
,
解得:a=-1或a=3,
当截距为零时,设y=kx,
同理可得
或
,
则所求切线的方程为x+y+1=0或x+y-3=0或
或
.
(2)∵切线PM与半径CM垂直,
∴|PM|2=|PC|2-|CM|2.
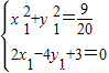
∴(x1+1)2+(y1-2)2-2=x12+y12.
∴2x1-4y1+3=0.
∴动点P的轨迹是直线2x-4y+3=0.
∴|PM|的最小值就是|PO|的最小值.
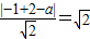
而|PO|的最小值为原点O到直线2x-4y+3=0的距离
,
∴由
,可得
故所求点P的坐标为
.
点评:此题考查学生掌握直线与圆相切时所满足的条件,会根据条件求动点的轨迹方程,灵活运用两点间的距离公式化简求值,是一道综合题.
(2)根据圆切线垂直于过切点的半径,得到三角形CPM为直角三角形,根据勾股定理表示出点P的轨迹方程,由轨迹方程得到动点P的轨迹为一条直线,所以|PM|的最小值就是|PO|的最小值,求出原点到P轨迹方程的距离即为|PO|的最小值,然后利用两点间的距离公式表示出P到O的距离,把P代入动点的轨迹方程,两者联立即可此时P的坐标.
解答:解:(1)∵切线在两坐标轴上的截距相等,
∴当截距不为零时,设切线方程为x+y=a,
又∵圆C:(x+1)2+(y-2)2=2,
∴圆心C(-1,2)到切线的距离等于圆的半径
即
解得:a=-1或a=3,
当截距为零时,设y=kx,
同理可得
则所求切线的方程为x+y+1=0或x+y-3=0或
(2)∵切线PM与半径CM垂直,
∴|PM|2=|PC|2-|CM|2.
∴(x1+1)2+(y1-2)2-2=x12+y12.
∴2x1-4y1+3=0.
∴动点P的轨迹是直线2x-4y+3=0.
∴|PM|的最小值就是|PO|的最小值.
而|PO|的最小值为原点O到直线2x-4y+3=0的距离
∴由
故所求点P的坐标为
点评:此题考查学生掌握直线与圆相切时所满足的条件,会根据条件求动点的轨迹方程,灵活运用两点间的距离公式化简求值,是一道综合题.
练习册系列答案
相关题目