题目内容
给出以下结论:①f(x)=|x+1|-|x-1|是奇函数; ②
③F(x)=f(x)f(-x)(x∈R)是偶函数; ④
其中正确的有( )个.
A.1个
B.2个
C.3个
D.4个
【答案】分析:根据函数奇偶性的定义,先分析函数的定义域是否关于原点对称,进而分析f(-x)与f(x)的关系,分析出四个答案中对应函数的奇偶性后,综合讨论结果可得答案.
解答:解:∵f(x)=|x+1|-|x-1|,∴f(-x)=|-x+1|-|-x-1|=|x-1|-|x+1|=-f(x),故f(x)=|x+1|-|x-1|为奇函数;故①正确;
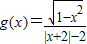
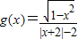
∵函数
的定义域为[-1,0)∪(0,1]关于原点对称,此时
=
,∴g(-x)=
=-g(x),故函数
为奇函数,故②错误;
∵F(x)=f(x)f(-x),∴F(-x)=f(-x)f(x)=F(x),故F(x)=f(x)f(-x)为偶函数,即③正确;
∵
的定义域(-1,1)关于原点对称,且
=-
=-h(x),故
是奇函数,即④正确;
故选C
点评:本题考查的知识点是函数的奇偶性,熟练掌握函数奇偶性的定义及判定方法是解答的关键.
解答:解:∵f(x)=|x+1|-|x-1|,∴f(-x)=|-x+1|-|-x-1|=|x-1|-|x+1|=-f(x),故f(x)=|x+1|-|x-1|为奇函数;故①正确;
∵函数
∵F(x)=f(x)f(-x),∴F(-x)=f(-x)f(x)=F(x),故F(x)=f(x)f(-x)为偶函数,即③正确;
∵
故选C
点评:本题考查的知识点是函数的奇偶性,熟练掌握函数奇偶性的定义及判定方法是解答的关键.
练习册系列答案
相关题目