题目内容

抛物线的焦点为,已知点为抛物线上的两个动点,且满足.过弦的中点作抛物线准线的垂线,垂足为,则的最大值为(    )

A.                B.              C.                 D.  

 

【答案】

A

【解析】

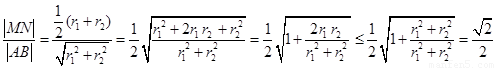
试题分析:设,则

考点:1、抛物线的焦点、准线;2、重要不等式;3、梯形的中位线;4、勾股定理

 

练习册系列答案
相关题目

违法和不良信息举报电话:027-86699610 举报邮箱:58377363@163.com

精英家教网