搜索
题目内容
已知在数列{a
n
}中,a
1
=1,当n≥2时,其前n项和S
n
满足S
n
2
=a
n
(S
n
-
),
(Ⅰ) 求S
n
的表达式;
(Ⅱ) 设
,求数列{b
n
}的前n项和T
n
.
试题答案
相关练习册答案
解:(1)当n≥2时,
代入得:
,
∴
。
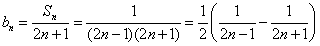
(2)
,
∴
。
练习册系列答案
南通小题周周练系列答案
启东中学中考模拟卷系列答案
金典课堂学案系列答案
名师伴你行10分钟天天练系列答案
零失误单元分层测试卷系列答案
高中同步检测优化卷38分钟高效作业本系列答案
灵星百分百提优大试卷系列答案
小学生一卷通完全试卷系列答案
江苏13大市中考试卷与标准模拟优化38套系列答案
微课堂系列答案
相关题目
已知在数列{a
n
}中,a
1
=1,当n≥2时,其前n项和S
n
满足
S
n
2
=
a
n
(
S
n
-
1
2
)
.
(Ⅰ) 求S
n
的表达式;
(Ⅱ) 设
b
n
=
S
n
2n+1
,求数列{b
n
}的前n项和T
n
.
已知在数列{a
n
}中,a
1
=7,
a
n+1
=
7
a
n
a
n
+7
,计算这个数列的前4项,并猜想这个数列的通项公式.
已知在数列{a
n
}中,a
n
≠0,(n∈N
*
).求证:“{a
n
}是常数列”的充要条件是“{a
n
}既是等差数列又是等比数列”.
(2011•河北区一模)已知在数列{a
n
}中,S
n
是前n项和,满足S
n
+a
n
=n,(n=1,2,3,…).
(Ⅰ)求a
1
,a
2
,a
3
的值;
(Ⅱ)求数列{a
n
}的通项公式;
(Ⅲ)令b
n
=(2-n)(a
n
-1)(n=1,2,3,…),求数列{b
n
}的前n项和T
n
.
已知在数列{a
n
}中,
a
1
=
1
2
,S
n
是其前n项和,且S
n
=n
2
a
n
-n(n-1).
(1)证明:数列
{
n+1
n
S
n
}
是等差数列;
(2)令b
n
=(n+1)(1-a
n
),记数列{b
n
}的前n项和为T
n
.
①求证:当n≥2时,
T
n
2
>2(
T
2
2
+
T
3
3
+…+
T
n
n
)
;
②)求证:当n≥2时,
b
n+1
+
b
n+2
+…+
b
2n
<
4
5
-
1
2n+1
.
关 闭
试题分类
高中
数学
英语
物理
化学
生物
地理
初中
数学
英语
物理
化学
生物
地理
小学
数学
英语
其他
阅读理解答案
已回答习题
未回答习题
题目汇总
试卷汇总
练习册解析答案