题目内容
设函数f(x)=x-1ex的定义域为(-∞,0)∪(0,+∞)(I)当f(x)时,求函数[m,m+1](m>0)上的最小值;
(Ⅱ)设函数
【答案】分析:(1)先求其导函数,找到其增减区间即可求函数f(x)在[m,m+1](m>0)上的最小值;
(2)先求出函数g(x)的增减区间,再利用题中要证的结论构造新函数F(x)=g(x)-g(2-x),求出新函数F(x)=g(x)-g(2-x)的增减区间,把二者相结合即可证明结论.
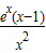
解答:解:(1)f′(x)=
,
则x>1时,f′(x)>0;
0<x<1时,f′(x)<0.
所以,函数f(x)在(0,1)上是减函数,在(1,+∞)上是增函数.(2分)
当m≥1时,函数f(x)在[m,m+1]上是增函数,
此时f(x)min=f(m)=
;
当0<m<1时,函数f(x)在[m,1]上是减函数,在[1,m+1]上是增函数,
此时f(x)min=f(1)=e;(6分)
(2)证明:考察函数g(x)=xe-x,g′(x)=(1-x)e-x
所以g(x)在(-∞,1)内是增函数,在(1,+∞)内是减函数.(结论1)
考察函数F(x)=g(x)-g(2-x),即F(x)=xe-x+(x-2)ex-2
于是F'(x)=(x-1)(e2x-2-1)e-x
当x>1时,2x-2>0,从而e2x-2-1>0,又e-x>0,所以F′(x)>0,从而函数F(x)在[1,+∞)是增函数.
又F(1)=e-1-e-1=0,所以x>1时,有F(x)>F(1)=0,即g(x)>g(2-x).(结论2)(9分)
若(x1-1)(x2-1)=0,由结论1及g(x1)=g(x2),得x1=x2=1,与x1≠x2矛盾;
若(x1-1)(x2-1)>0,由结论1及g(x1)=g(x2),得x1=x2,与x1≠x2矛盾;(11分)
若(x1-1)(x2-1)<0,不妨设x1<1,x2>1
由结论2可知,g(x2)>g(2-x2),所以g(x1)=g(x2)>g(2-x2).
因为x2>1,所以2-x2<1,又由结论1可知函数g(x)在区间(-∞,1)内是增函数,
所以x1>2-x2,即x1+x2>2.(15分)
点评:本题的第一问主要考查利用导函数求函数在闭区间上的最值问题,比较基础,第二问就比较难,适合中上等学生来做.
(2)先求出函数g(x)的增减区间,再利用题中要证的结论构造新函数F(x)=g(x)-g(2-x),求出新函数F(x)=g(x)-g(2-x)的增减区间,把二者相结合即可证明结论.
解答:解:(1)f′(x)=
则x>1时,f′(x)>0;
0<x<1时,f′(x)<0.
所以,函数f(x)在(0,1)上是减函数,在(1,+∞)上是增函数.(2分)
当m≥1时,函数f(x)在[m,m+1]上是增函数,
此时f(x)min=f(m)=
当0<m<1时,函数f(x)在[m,1]上是减函数,在[1,m+1]上是增函数,
此时f(x)min=f(1)=e;(6分)
(2)证明:考察函数g(x)=xe-x,g′(x)=(1-x)e-x
所以g(x)在(-∞,1)内是增函数,在(1,+∞)内是减函数.(结论1)
考察函数F(x)=g(x)-g(2-x),即F(x)=xe-x+(x-2)ex-2
于是F'(x)=(x-1)(e2x-2-1)e-x
当x>1时,2x-2>0,从而e2x-2-1>0,又e-x>0,所以F′(x)>0,从而函数F(x)在[1,+∞)是增函数.
又F(1)=e-1-e-1=0,所以x>1时,有F(x)>F(1)=0,即g(x)>g(2-x).(结论2)(9分)
若(x1-1)(x2-1)=0,由结论1及g(x1)=g(x2),得x1=x2=1,与x1≠x2矛盾;
若(x1-1)(x2-1)>0,由结论1及g(x1)=g(x2),得x1=x2,与x1≠x2矛盾;(11分)
若(x1-1)(x2-1)<0,不妨设x1<1,x2>1
由结论2可知,g(x2)>g(2-x2),所以g(x1)=g(x2)>g(2-x2).
因为x2>1,所以2-x2<1,又由结论1可知函数g(x)在区间(-∞,1)内是增函数,
所以x1>2-x2,即x1+x2>2.(15分)
点评:本题的第一问主要考查利用导函数求函数在闭区间上的最值问题,比较基础,第二问就比较难,适合中上等学生来做.
练习册系列答案
相关题目
设函数f(x)的定义域为A,若存在非零实数t,使得对于任意x∈C(C⊆A),有x+t∈A,且f(x+t)≤f(x),则称f(x)为C上的t低调函数.如果定义域为[0,+∞)的函数f(x)=-|x-m2|+m2,且 f(x)为[0,+∞)上的10低调函数,那么实数m的取值范围是( )
| A、[-5,5] | ||||||||
B、[-
| ||||||||
C、[-
| ||||||||
D、[-
|