题目内容
已知动点P(x,y)与两定点M(-1,0),N(1,0)连线的斜率之积等于常数λ(λ≠0).(I) 求动点P的轨迹C的方程;
(II) 试根据λ的取值情况讨论轨迹C的形状.
【答案】分析:(Ⅰ)利用动点P(x,y)与两定点M(-1,0),N(1,0)连线的斜率之积等于常数λ(λ≠0),建立方程,化简可得结论;
(Ⅱ)对λ分类讨论,考虑λ>0;-1<λ<0;λ=-1;λ<-1,即可得到结论.
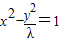
解答:解:(Ⅰ)由题设知直线PM与PN的斜率存在且均不为零
所以kPM•kPN=
•
=λ,整理得
(λ≠0,x≠±1)(4分)
(Ⅱ)①当λ>0时,轨迹C为中心在原点,焦点在x轴上的双曲线(除去顶点)
②当-1<λ<0时,轨迹C为中心在原点,焦点在x轴上的椭圆(除去长轴两个端点)
③当λ=-1时,轨迹C为以原点为圆心,1的半径的圆除去点(-1,0),(1,0)
④当λ<-1时,轨迹C为中心在原点,焦点在y轴上的椭圆(除去短轴的两个端点)(12分)
点评:本题考查轨迹方程,考查分类讨论思想的运用,属于中档题.
(Ⅱ)对λ分类讨论,考虑λ>0;-1<λ<0;λ=-1;λ<-1,即可得到结论.
解答:解:(Ⅰ)由题设知直线PM与PN的斜率存在且均不为零
所以kPM•kPN=
(Ⅱ)①当λ>0时,轨迹C为中心在原点,焦点在x轴上的双曲线(除去顶点)
②当-1<λ<0时,轨迹C为中心在原点,焦点在x轴上的椭圆(除去长轴两个端点)
③当λ=-1时,轨迹C为以原点为圆心,1的半径的圆除去点(-1,0),(1,0)
④当λ<-1时,轨迹C为中心在原点,焦点在y轴上的椭圆(除去短轴的两个端点)(12分)
点评:本题考查轨迹方程,考查分类讨论思想的运用,属于中档题.
练习册系列答案
相关题目