题目内容
已知函数.求:
(1)的值域;
(2)的零点;
(3)时的取值范围.
(12分)已知函数,求:(1)函数y的最大值,最小值及最小正周期;(2)函数y的单调递增区间。
已知函数,求:
(1)的最小正周期;
(2)在区间上的最大值和最小值及取得最值时的值。
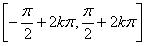
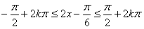
已知函数, ,求:
(1)函数的定义域。 (2)求使的的取值范围。