题目内容

已知函数
(Ⅰ)若f(x)=2,求x的值;
(Ⅱ)若2tf(2t)+mf(t)≥0对于t∈[1,2]恒成立,求实数m的取值范围.
【答案】分析:(I)当x≤0时得到f(x)=0而f(x)=2,所以无解;当x>0时解出f(x)=2求出x即可;
(II)由 t∈[1,2]时,3tf(2t)+mf(t)≥0恒成立得到,得到f(t)=,代入得到m的范围即可.
解答:解:(Ⅰ)当x≤0时f(x)=0,
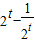
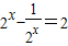
当x>0时,
有条件可得,
即22x-2×2x-1=0,解得,∵2x>0,∴,∴
(Ⅱ)当t∈[1,2]时,
即m(22t-1)≥-(24t-1).∵22t-1>0,∴m≥-(22t+1).
∵t∈[1,2],∴-(1+22t)∈[-17,-5],
故m的取值范围是[-5,+∞).
点评:本题主要考查了函数恒成立问题.属于基础题.恒成立问题多需要转化,因为只有通过转化才能使恒成立问题等到简化;转化过程中往往包含着多种数学思想的综合运用,同时转化过程更提出了等价的意识和要求.
练习册系列答案
相关题目

违法和不良信息举报电话:027-86699610 举报邮箱:58377363@163.com

精英家教网