搜索
题目内容
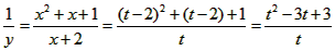
已知函数y=
(x>-2)
(1)求
的取值范围;
(2)当x为何值时,y取何最大值?
试题答案
相关练习册答案
解:(1)设:x+2=t,x=t-2,t>0(∵x>-2)
则:
=
;∴所求为
;
(2)欲y最大,必
最小,此时t=
∴当x=
时,y最大值为
。
练习册系列答案
励耘书业阶梯训练系列答案
开心英语系列答案
阅读与作文联通训练系列答案
PASS绿卡图书系列答案
阳光课堂应用题系列答案
课时练单元达标卷系列答案
课课练云南师大附小全优作业系列答案
中考试题研究听力满分特训系列答案
葵花宝典系列答案
远航教育期末夺冠测试卷系列答案
相关题目
已知函数
y=x+
a
x
有如下性质:如果常数a>0,那么该函数在
(0,
a
]
上是减函数,在
[
a
,+∞)
上是增函数.
(1)如果函数
y=x+
2
b
x
(x>0)
在(0,4]上是减函数,在[4,+∞)上是增函数,求b的值.
(2)设常数c∈[1,4],求函数
f(x)=x+
c
x
(1≤x≤2)
的最大值和最小值;
(3)当n是正整数时,研究函数
g(x)=
x
n
+
c
x
n
(c>0)
的单调性,并说明理由.
(1)利用函数单调性的定义证明函数
h(x)=x+
3
x
在[
3
,∞)
上是增函数;
(2)我们可将问题(1)的情况推广到以下一般性的正确结论:已知函数
y=x+
t
x
有如下性质:如果常数t>0,那么该函数在
(0,
t
]
上是减函数,在
[
t
,+∞)
上是增函数.
若已知函数
f(x)=
4
x
2
-12x-3
2x+1
,x∈[0,1],利用上述性质求出函数f(x)的单调区间;又已知函数g(x)=-x-2a,问是否存在这样的实数a,使得对于任意的x
1
∈[0,1],总存在x
2
∈[0,1],使得g(x
2
)=f(x
1
)成立,若不存在,请说明理由;如存在,请求出这样的实数a的值.
已知函数
y=x+
a
x
有如下性质:如果常数a>0,那么该函数在
(0,
a
]
上是减函数,在
[
a
,+∞)
上是增函数.
(1)如果函数
y=x+
3
m
x
(x>0)
的值域是[6,+∞),求实数m的值;
(2)求函数
f(x)=
x
2
+
a
x
2
(a>0)在x∈[1,2]上的最小值g(a)的表达式.
已知函数
y=x+
a
x
有如下性质:如果常数a>0,那么该函数在
(0,
a
]
上是减函数,在
[
a
,+∞)
上是增函数,
(1)如果函数
y=x+
3
m
x
(x>0)
的值域是[6,+∞),求实数m的值;
(2)研究函数
f(x)=
x
2
+
a
x
2
(常数a>0)在定义域内的单调性,并说明理由;
(3)若把函数
f(x)=
x
2
+
a
x
2
(常数a>0)在[1,2]上的最小值记为g(a),求g(a)的表达式.
已知函数y=x+
t
x
有如下性质:如果常数t>0,那么该函数(0,
t
]上是减函数,在[
t
,+∞)上是增函数.
(1)已知f(x)=
4
x
2
-12x-3
2x+1
,x∈[0,1],利用上述性质,求函数f(x)的单调区间和值域.
(2)对于(1)中的函数f(x)和函数g(x),若对于任意的x
1
∈[0,1],总存在x
2
∈[0,1],使得g(x
2
)=f(x
1
)成立,求实数a的值.
关 闭
试题分类
高中
数学
英语
物理
化学
生物
地理
初中
数学
英语
物理
化学
生物
地理
小学
数学
英语
其他
阅读理解答案
已回答习题
未回答习题
题目汇总
试卷汇总
练习册解析答案