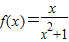
题目内容
已知(1)求实数a,b,并确定函数f(x)的解析式
(2)用定义证明f(x)在(-1,1)上是增函数.
【答案】分析:(1)利用函数的奇偶性即可求出;
(2)利用函数的单调性即可证明.
解答:解:(1)由满足
,
∴
,解得
.
∴a=1,b=0,
;
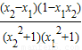
(2)证明:设-1<x1<x2<1,
=
,
∵-1<x1<x2<-1,∴-1<x1•x2<1,即1-x1x2>0,x2-x1>0,
,
,
∴f(x2)-f(x1)>0,即f(x2)>f(x1).
所以函数f(x)在(-1,1)上是增函数.
点评:熟练掌握函数的奇偶性和单调性是解题的关键.
(2)利用函数的单调性即可证明.
解答:解:(1)由满足
∴
∴a=1,b=0,
(2)证明:设-1<x1<x2<1,
∵-1<x1<x2<-1,∴-1<x1•x2<1,即1-x1x2>0,x2-x1>0,
∴f(x2)-f(x1)>0,即f(x2)>f(x1).
所以函数f(x)在(-1,1)上是增函数.
点评:熟练掌握函数的奇偶性和单调性是解题的关键.
练习册系列答案
相关题目