题目内容

把4个颜色各不相同的乒乓球随机的放入编号为1、2、3、4的四个盒子里 .则恰好有一个盒子空的概率是            (结果用最简分数表示)

 

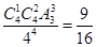
【答案】

【解析】

试题分析:这是古典概型,我们只要计算出两个数,一个是把4个不同的球随机放入四个不同的盒子的所有放法总数为,而恰好有一个盒子是空的方法为,从而所求概率为

考点:古典概型.

 

练习册系列答案
相关题目

违法和不良信息举报电话:027-86699610 举报邮箱:58377363@163.com

精英家教网