题目内容
已知数列的前项和为,点在函数的图象上,
(1)求数列的通项公式;
(2)设,是数列的前项和,求使成立的最小正整数的值。
(1),—————4分
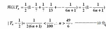
(2),
(本小题满分14分)
已知数列的前项和为,若且.
(Ⅰ)求证是等差数列,并求出的表达式;
(Ⅱ) 若,求证.
已知数列的前项和为,求这个数列的通项公式.这个数列是等差数列吗?如果是,它的首项与公差分别是什么?
(本题满分13分)已知数列的前项和为,满足.(Ⅰ)证明:数列为等比数列,并求出;(Ⅱ)设,求的最大项.
(本小题14分)已知数列{}的前项和为,且=();=3且(),(1)写出;(2)求数列{},{}的通项公式和;(3)设,求数列的前项和.
已知数列的前项和为,且.
(1)求数列的通项公式;
(2)令,数列的前项和为,若不等式 对任意恒成立,求实数的取值范围.