题目内容
在△ABC 中角A 、B 、C 的对边分别为a,b,c设向量
且
∥
,
≠
(Ⅰ)若
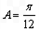
=
,求A;
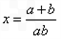
(Ⅱ)若△ABC的外接圆半径为1,且abx=a+b试确定x的取值范围.
(Ⅰ)若
(Ⅱ)若△ABC的外接圆半径为1,且abx=a+b试确定x的取值范围.
解:因为
且

由正弦定理,得
,即
又
所以
即
(1)
=
∵
∴
,
,
,
(2)若
则
,,得
设
=
,则
,
所以
,
所以实数x的取值范围为
.
由正弦定理,得
又
(1)
∵
(2)若
设
所以
所以实数x的取值范围为
练习册系列答案
相关题目