题目内容
已知中心在原点,焦点在x轴上的椭圆C的离心率为(Ⅰ)求椭圆C的方程;
(Ⅱ)是否存过点P(2,1)的直线l1与椭圆C相交于不同的两点A,B,满足
【答案】分析:(1)先设椭圆的标准方程,将点M代入得到一个方程,根据离心率得到一个关系式,再由a2=b2+c2可得到a,b,c的值,进而得到椭圆的方程.
(2)假设存在直线满足条件,设直线方程为y=k1(x-2)+1,然后与椭圆方程联立消去y得到一元二次方程,且方程一定有两根,故应△大于0得到k的范围,进而可得到两根之和、两根之积的表达式,再由
,可确定k1的值,从而得解.
解答:解:(Ⅰ)设椭圆C的方程为
(a>b>0),
∵e=
=
,且经过点M
,
∴
,
解得c2=1,a2=4,b2=3,
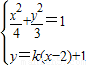
故椭圆C的方程为
.…(4分)
(Ⅱ)若存在直线l满足条件,由题意可设直线l的方程为y=k1(x-2)+1,件,
由题意可设直线l的方程为y=k1(x-2)+1,
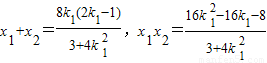
由
,
得(3+4k12)x2-8k1(2k1-1)x+16k12-16k1-8=0.
因为直线l与椭圆C相交于不同的两点A,B,
设A,B两点的坐标分别为(x1,y1),(x2,y2),
所以△=[-8k1(2k1-1)]2-4•(3+4k12)•(16k12-16k1-8)>0.
整理得32(6k1+3)>0.
解得k1>-
,
又
,
因为
,即
,
所以
=
.
即
.
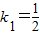
所以
,解得
.
因为A,B为不同的两点,所以
.
于是存在直线l1满足条件,其方程为
.…(12分)
点评:本题主要考查椭圆的基本性质和直线与椭圆的综合题.直线与圆锥曲线的综合题是高考的重点题型,要着重复习.
(2)假设存在直线满足条件,设直线方程为y=k1(x-2)+1,然后与椭圆方程联立消去y得到一元二次方程,且方程一定有两根,故应△大于0得到k的范围,进而可得到两根之和、两根之积的表达式,再由
解答:解:(Ⅰ)设椭圆C的方程为
∵e=
∴
解得c2=1,a2=4,b2=3,
故椭圆C的方程为
(Ⅱ)若存在直线l满足条件,由题意可设直线l的方程为y=k1(x-2)+1,件,
由题意可设直线l的方程为y=k1(x-2)+1,
由
得(3+4k12)x2-8k1(2k1-1)x+16k12-16k1-8=0.
因为直线l与椭圆C相交于不同的两点A,B,
设A,B两点的坐标分别为(x1,y1),(x2,y2),
所以△=[-8k1(2k1-1)]2-4•(3+4k12)•(16k12-16k1-8)>0.
整理得32(6k1+3)>0.
解得k1>-
又
因为
所以
即
所以
因为A,B为不同的两点,所以
于是存在直线l1满足条件,其方程为
点评:本题主要考查椭圆的基本性质和直线与椭圆的综合题.直线与圆锥曲线的综合题是高考的重点题型,要着重复习.
练习册系列答案
相关题目