题目内容
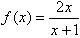
已知函数
,f(1)=1,
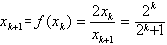
,令x1=
,xn+1=f(xn)。
(1)求数列{xn}的通项公式;
(2)证明x1x2x3…xn>
。
(1)求数列{xn}的通项公式;
(2)证明x1x2x3…xn>
解:由f(1)=1,
得a=b=1,
。
(1)先求出
猜想
用数学归纳法证明
当n=1显然成立;
假设n=k成立,即
则
得证。
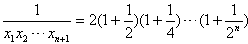
(2)我们证明
,事实上

我们注意到
于是

∴
。
(1)先求出
猜想
用数学归纳法证明
当n=1显然成立;
假设n=k成立,即
则
(2)我们证明
我们注意到
于是
∴
练习册系列答案
相关题目