题目内容
已知锐角△ABC中的内角A、B、C的对边分别为a,b,c,定义向量(1)求函数f(x)=sin2xcosB-cos2xsinB的单调递增区间;
(2)如果b=2,求△ABC的面积的最大值.
【答案】分析:(1)通过
求出
,解出B的值,然后利用两角差的正弦函数化简函数f(x)=sin2xcosB-cos2xsinB为一个角的一个三角函数的形式,结合正弦函数的单调增区间,求出函数的单调递增区间;
(2)如果b=2,利用余弦定理得到ac的范围,然后确定△ABC的面积的最大值.
解答:解:(1)∵
,∴
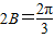
.∵
,即
又∵B为锐角,∴2B∈(0,π),∴
,∴
.
.
由
.得:
.∴函数的单调递增区间为:
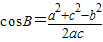
(2)∵
,由余弦定理
得到:ac+4=a2+c2≥2ac,∴ac≤4,
,(当且仅当a=c=2时等号成立).
即△ABC面积的最大值为
.
点评:本题是中档题,考查三角函数的单调性,三角函数的恒等变换以及化简求值,余弦定理,函数最值的应用,考查计算能力.
(2)如果b=2,利用余弦定理得到ac的范围,然后确定△ABC的面积的最大值.
解答:解:(1)∵
又∵B为锐角,∴2B∈(0,π),∴
由
(2)∵
即△ABC面积的最大值为
点评:本题是中档题,考查三角函数的单调性,三角函数的恒等变换以及化简求值,余弦定理,函数最值的应用,考查计算能力.
练习册系列答案
相关题目