题目内容
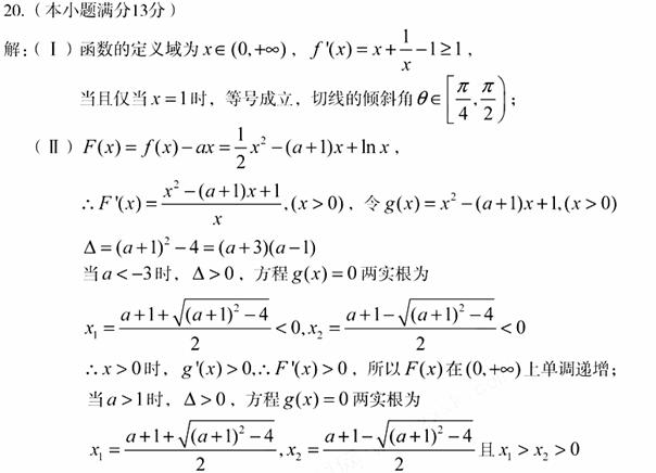
已知函数
(I)求函数图像上所有点处的切线的倾斜角范围;
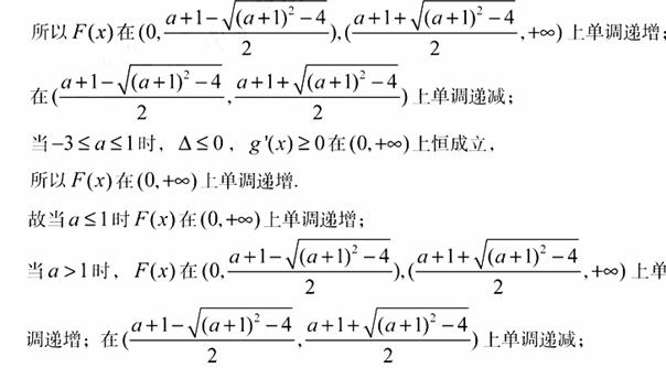
(II)若,讨论的单调性。
(本小题满分14分)已知函数 (I)求曲线处的切线方程; (Ⅱ)求证函数在区间[0,1]上存在唯一的极值点,并用二分法求函数取得极值时相应x的近似值(误差不超过0.2);(参考数据e≈2.7,≈1.6,e0.3≈1.3)
(III)当试求实数的取值范围。
(I)求函数的单调区间;
(II)若函数的取值范围;
(III)当
(本小题满分12分)已知函数
(I)求函数的最小正周期; (II)求函数取得最大值的所有组成的集合.
(I)求f(x)在[0,1]上的极值;
(II)若对任意成立,求实数a的取值范围;
(III)若关于x的方程在[0,1]上恰有两个不同的实根,求实数b的取值范围.