搜索
题目内容
(12分)已知
的前项之和
,求此数列的通项公式。
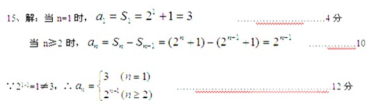
试题答案
相关练习册答案
解析
练习册系列答案
志鸿成功之路塞上名校金考系列答案
指点中考系列答案
100分闯关总复习名校冲刺系列答案
1卷通单元月考过关卷系列答案
浙江新中考系列答案
68所名校图书小学毕业升学必备系列答案
天利38套新课标全国中考试题精选系列答案
中考试题研究满分特训方案系列答案
中考总复习名师A计划系列答案
百题大过关系列答案
相关题目
已知{a
n
}的前项之和S
n
=2
n
+1,求此数列的通项公式.
已知
的前项之和
,求此数列的通项公式。
已知{a
n
}的前项之和S
n
=2
n
+1,求此数列的通项公式.
已知{a
n
}的前项之和S
n
=2
n
+1,求此数列的通项公式.
关 闭
试题分类
高中
数学
英语
物理
化学
生物
地理
初中
数学
英语
物理
化学
生物
地理
小学
数学
英语
其他
阅读理解答案
已回答习题
未回答习题
题目汇总
试卷汇总
练习册解析答案