题目内容
已知抛物线C1:y2=2px的准线经过双曲线C2:(1)求抛物线C1的方程;
(2)求双曲线C2的方程.
【答案】分析:(1)把交点
代入抛物线C1:y2=2px,就能得到抛物线C1的方程.
(2)求出抛物线C1的准线方程,得到双曲线C2的左焦点,然后设出双曲线的标准方程,把交点M代入,可以求出双曲线C2的方程.
解答:解:(1)把交点
代入抛物线C1:y2=2px得
,解得p=2,∴抛物线C1的方程是y2=4x.
(2)∵抛物线y2=4x的准线方程是x=-1,
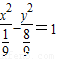
∴双曲线C2:
的左焦点是(-1,0).
设双曲线C2的方程为
,
把交点
代入,得
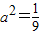
,整理得9a4-37a2+4=0.
解得
,或a2=4(舍去).
∴
.
∴双曲线C2的方程是
.
点评:第(1)题比较简单,把交点M代入y2=2px就能求出抛物线C1的方程,第(2)题在第一题的基础上得到双曲线C2的左焦点,知道焦点坐标后,双曲线方程通常设为
.
(2)求出抛物线C1的准线方程,得到双曲线C2的左焦点,然后设出双曲线的标准方程,把交点M代入,可以求出双曲线C2的方程.
解答:解:(1)把交点
(2)∵抛物线y2=4x的准线方程是x=-1,
∴双曲线C2:
设双曲线C2的方程为
把交点
解得
∴
∴双曲线C2的方程是
点评:第(1)题比较简单,把交点M代入y2=2px就能求出抛物线C1的方程,第(2)题在第一题的基础上得到双曲线C2的左焦点,知道焦点坐标后,双曲线方程通常设为
练习册系列答案
相关题目