题目内容
已知△ABC的内角A、B、C的对边分别为a、b、c,
sinCcosC-cos2C=
,且c=3,
(1)求角C;
(2)若向量
=(1,sinA)与
=(2,sinB)共线,求a、b的值。
(1)求角C;
(2)若向量
解:(1)
,
∴
,即
,
,
∴
,解得
;
(2)
共线,
∴sinB-2sinA=0,
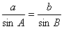
由正弦定理
,得b=2a,①
∵c=3,
由余弦定理,得
,②
联立方程①②,得
。
∴
∴
(2)
∴sinB-2sinA=0,
由正弦定理
∵c=3,
由余弦定理,得
联立方程①②,得
练习册系列答案
相关题目