题目内容
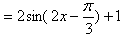
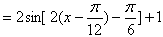
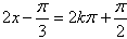
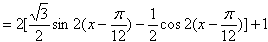
已知函数.
(1)求的最小值;
(2)当函数自变量的取值区间与对应函数值的取值区间相同时,这样的区间称为函数的保值区间.设,试问函数在上是否存在保值区间?若存在,请求出一个保值区间;若不存在,请说明理由.
(本题满分14分)定义在D上的函数,如果满足;对任意,存在常数,都有成立,则称是D上的有界函数,其中M称为函数的上界。
已知函数,
(1)当时,求函数在上的值域,并判断函数在上是否为有界函数,请说明理由;
(2)若函数在上是以3为上界函数值,求实数的取值范围;
(3)若,求函数在上的上界T的取值范围。