题目内容
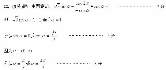
(本题满分8分) 已知
求的值
答案
(本题满分8分)已知,函数.
(Ⅰ)求的极值(用含的式子表示);
(Ⅱ)若的图象与轴有3个不同交点,求的取值范围.
(本题满分8分)已知函数。
(1)求的振幅和最小正周期;
(2)求当时,函数的值域;
(3)当时,求的单调递减区间。
(本题满分8分)已知奇函数
(1)求实数m的值,并在给出的直角坐标系中画出的图象;
(2)若函数在区间[-1,-2]上单调递增,试确定的取值范围.
(本题满分8分)已知函数.
(1)求函数的定义域;
(2)判断函数的奇偶性,并说明理由.
(本题满分8分) 已知函数 在处,取得极值
(1) 求实数的值 (2) 求函数的单调区间,并指出其单调性。