题目内容
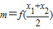
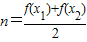
已知f(x)=ax2+bx+c(a>0),,若x1≠x2,则A.m与n大小关系和a,b,c的取值有关
B.m<n
C.m>n
D.m=n
【答案】分析:将自变量的值代入f(x),求出m,n;表示出m-n将差变形化简,利用基本不等式判断出差的符号,判断出m,n的大小.
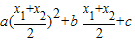
解答:解:∵
=
=
∴
∴m<n
故选B
点评:本题考查通过作差来比较两个数的大小、考查基本不等式判断差的符号.
解答:解:∵
∴
∴m<n
故选B
点评:本题考查通过作差来比较两个数的大小、考查基本不等式判断差的符号.
练习册系列答案
相关题目