题目内容
已知等差数列{an}的前n项和为Sn,S5=35,a5和a7的等差中项为13,
(Ⅰ)求an及Sn;
(Ⅱ)令
(n∈N*),求数列{bn}的前n项和Tn。
(Ⅰ)求an及Sn;
(Ⅱ)令
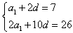
解:(Ⅰ)设等差数列{an}的公差为d,因为S5=5a3=35,a5+a7=26,
所以有
,
解得a1=3,d=2,
所以an=3+2(n-1)=2n+1;
Sn=
。
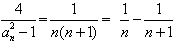
(Ⅱ)由(Ⅰ)知an=2n+1,
所以bn=
,
所以Tn=
。
练习册系列答案
相关题目