题目内容
已知函数(1)求函数f(x)的最小正周期和单调递增区间;
(2)将函数y=f(x)的图象上各点的纵坐标保持不变,横坐标缩短到原来的
【答案】分析:(1)化简函数的解析式为
,函数f(x)的最小正周期为T=π. 由
,k∈Z,求得f(x)的单调递增区间.
(2)根据条件得
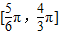
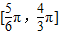
∈
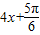
,所以当x=
时,
.
解答:解:(1)因为
=
,
故 函数f(x)的最小正周期为T=π. 由
,k∈Z,
得f(x)的单调递增区间为
,k∈Z.
(2)根据条件得μ=
,当x∈
时,
∈
,
所以当x=
时,
.
点评:本题考查两角和差的正弦公式,正弦函数的周期性、单调性、值域,化简函数的解析式为
,是解题的关键.
(2)根据条件得
解答:解:(1)因为
故 函数f(x)的最小正周期为T=π. 由
得f(x)的单调递增区间为
(2)根据条件得μ=
所以当x=
点评:本题考查两角和差的正弦公式,正弦函数的周期性、单调性、值域,化简函数的解析式为
练习册系列答案
相关题目