题目内容
定义,若关于的方程恰有二个不同的实根,则的值为 .
已知全集为,集合,,则集合( )
A. B. C. D.
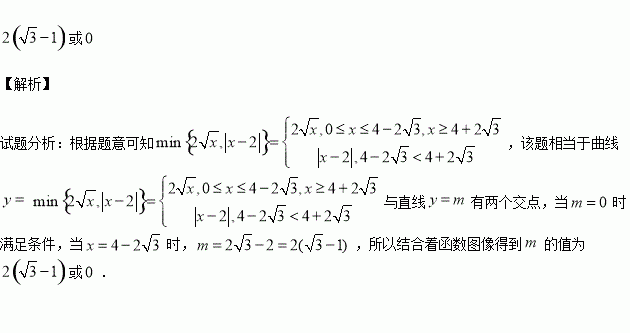
对,记函数的最小值是 .
若角的终边互为反向延长线,则 ( )
A. B.
C. D.
设为原点,是抛物线上一点,为焦点, ,则 .
若定义域为的奇函数满足,且在上单调递减,则
(A) (B)
(C) (D)与的大小不确定
(本小题10分)如图是一个几何体的主视图和俯视图,
(1)试判断这个几何体是什么几何体;
(2)请画出它的左视图,并求该左视图的面积.
已知正三角形三个顶点都在半径为的球面上,球心到平面的距离为,点是线段的中点,过点作球的截面,则截面面积的最小值是( )