题目内容
如图,在平面直角坐标系xOy中,以Ox轴为始边作两个锐角α、β,它们的终边分别与单位圆相交于A、B两点,已知A、B的横坐标分别为
。
(1)求tan(α+β)的值;
(2)求α+2β的值。
(2)求α+2β的值。
解:(1)由已知条件及三角函数的定义可知

因α为锐角,故sinα>0,从而
同理可得
因此
所以
;
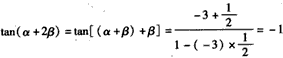
(2)
又
故
从而由
。
因α为锐角,故sinα>0,从而
同理可得
因此
所以
(2)
又
故
从而由
练习册系列答案
相关题目
| A、偶函数 | B、奇函数 | C、不是奇函数,也不是偶函数 | D、奇偶性与k有关 |