题目内容
已知椭圆(I)求椭圆G的焦点坐标和离心率;
(Ⅱ)将|AB|表示为m的函数,并求|AB|的最大值.
【答案】分析:(I)由题意及椭圆和圆的标准方程,利用椭圆离心率的定义和点到直线的距离公式即可求解;
(II)由题意即m得取值范围分m=1时,m=-1及当m≠±1三大类求出|AB|的长度,利用直线方程与椭圆方程进行联立,利用根与系数的关系得到k与m之间关系等式,利用
解答:解:(I)由题意得a=2,b=1,所以c=
∴椭圆G的焦点坐标
离心率e=
.
(II)由题意知:|m|≥1,
当m=1时,切线l的方程为x=1,点A(1,
) 点B(1,-
) 此时|AB|=
;
当m=-1时,同理可得|AB|=
;
当|m|>1时,设切线l的方程为:y=k(x-m),由
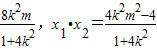
⇒(1+4k2)x2-8k2mx+4k2m2-4=0,
设A(x1,y1),B(x2,y2)则x1+x2=
又由l与圆圆x2+y2=1相切∴圆心到直线l的距离等于圆的半径即
=1⇒m2=
,
所以|AB|=
=
=
,由于当m=±1时,|AB|=
,
当m≠±1时,|AB|=
,此时m∈(-∞,-1]∪[1,+∞)
又|AB|=
≤2(当且仅当m=±
时,|AB|=2),
所以,|AB|的最大值为2.
故|AB|的最大值为2.
点评:此题重点考查了椭圆及圆的标准方程,还考查了点到直线的距离公式,对于第二问,重点考查了利用m的范围分裂进行讨论,联立直线与椭圆的方程利用整体代换的思想建立m与k的关系等式,还考查两点间的距离公式及又m的范围解出|AB|的最值.
(II)由题意即m得取值范围分m=1时,m=-1及当m≠±1三大类求出|AB|的长度,利用直线方程与椭圆方程进行联立,利用根与系数的关系得到k与m之间关系等式,利用
解答:解:(I)由题意得a=2,b=1,所以c=
∴椭圆G的焦点坐标
(II)由题意知:|m|≥1,
当m=1时,切线l的方程为x=1,点A(1,
当m=-1时,同理可得|AB|=
当|m|>1时,设切线l的方程为:y=k(x-m),由
设A(x1,y1),B(x2,y2)则x1+x2=
又由l与圆圆x2+y2=1相切∴圆心到直线l的距离等于圆的半径即
所以|AB|=
=
当m≠±1时,|AB|=
又|AB|=
所以,|AB|的最大值为2.
故|AB|的最大值为2.
点评:此题重点考查了椭圆及圆的标准方程,还考查了点到直线的距离公式,对于第二问,重点考查了利用m的范围分裂进行讨论,联立直线与椭圆的方程利用整体代换的思想建立m与k的关系等式,还考查两点间的距离公式及又m的范围解出|AB|的最值.
练习册系列答案
相关题目