题目内容
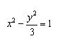
已知双曲线与抛物线有 一个公共的焦点,且两曲线的一个交点为,若,则双曲线方程为 .
解析
已知双曲线与抛物线有一个公共的焦点,且两曲线的一个交点为,若,则双曲线的渐近线方程为( )
A. B. C. D.
已知双曲线与抛物线有一个公共的焦点,且两曲线的一个交点为,若,则双曲线的渐近线方程为 .
已知双曲线与抛物线有一个公共的焦点,且双曲线上的点到坐标原点的最短距离为1,则该双曲线的标准方程是___________。
已知双曲线与抛物线有一个公共的焦点,且两曲线的一个交点为,若,则双曲线方程为 .