题目内容

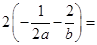
,则当______时,取得最小值.

 

【答案】

.

【解析】

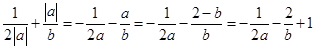
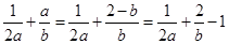
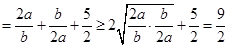
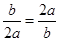
试题分析:,当时,则有

,另一方面

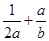
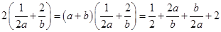
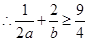
,当且仅当,即时,即当时,取得最小值,此时;当,则有,另一方面

,当且仅当时,由于,即当时,由于,解得,上式取等号,所以,即取得最小值,由于,故当时,

取得最小值.

考点:基本不等式

 

练习册系列答案
相关题目

违法和不良信息举报电话:027-86699610 举报邮箱:58377363@163.com

精英家教网