题目内容
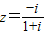
已知复数z满足(1+i)•z=-i,则
【答案】分析:把给出的等式变形得到
,运用复数的除法运算化简z,从而得到
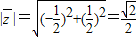
,则
的模可求.
解答:解:由(1+i)•z=-i,得:
.
所以
,所以
.
故答案为
.
点评:本题考查了复数代数形式的乘除运算,考查了复数的模,复数的除法采用分子分母同时乘以分母的共轭复数,此题是基础题.
解答:解:由(1+i)•z=-i,得:
所以
故答案为
点评:本题考查了复数代数形式的乘除运算,考查了复数的模,复数的除法采用分子分母同时乘以分母的共轭复数,此题是基础题.
练习册系列答案
相关题目
已知复数z满足(1+2i)z=4+3i,则在复平面内复数z对应的点在第( )象限.
| A、一 | B、二 | C、三 | D、四 |