题目内容
计算
=______________. (
)
【答案】
![]()
【解析】
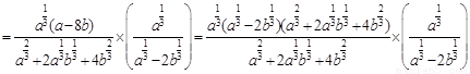
试题分析:根式与分数指数互化公式
原式可化为
![]()
![]()
![]()
考点:根式与分数指数互化,指数运算,立方差公式.
练习册系列答案
相关题目
题目内容
计算
=______________. (
)
![]()
【解析】
试题分析:根式与分数指数互化公式
原式可化为
![]()
![]()
![]()
考点:根式与分数指数互化,指数运算,立方差公式.