题目内容
成等差数列的三个正数的和等于15,并且这三个数分别加上2、5、13后成为等比数列{bn}中的b3、b4、b5.(Ⅰ)求数列{bn}的通项公式;
(Ⅱ)数列{bn}的前n项和为Sn,求证:数列{Sn+
【答案】分析:(I)利用成等差数列的三个正数的和等于15可设三个数分别为5-d,5+d,代入等比数列中可求d,进一步可求数列{bn}的通项公式
(II)根据(I)及等比数列的前 n项和公式可求Sn,要证数列{Sn+
}是等比数列?
即可.
解答:解:(I)设成等差数列的三个正数分别为a-d,a,a+d
依题意,得a-d+a+a+d=15,解得a=5
所以{bn}中的依次为7-d,10,18+d
依题意,有(7-d)(18+d)=100,解得d=2或d=-13(舍去)
故{bn}的第3项为5,公比为2
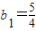
由b3=b1•22,即5=4b1,解得
所以{bn}是以
首项,2为公比的等比数列,通项公式为
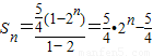
(II)数列{bn}的前和
即
,所以
,
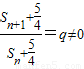
因此{
}是以
为首项,公比为2的等比数列
点评:本题主要考查了等差数列、等比数列及前n和公式等基础知识,同时考查基本运算能力
(II)根据(I)及等比数列的前 n项和公式可求Sn,要证数列{Sn+
解答:解:(I)设成等差数列的三个正数分别为a-d,a,a+d
依题意,得a-d+a+a+d=15,解得a=5
所以{bn}中的依次为7-d,10,18+d
依题意,有(7-d)(18+d)=100,解得d=2或d=-13(舍去)
故{bn}的第3项为5,公比为2
由b3=b1•22,即5=4b1,解得
所以{bn}是以
(II)数列{bn}的前和
即
因此{
点评:本题主要考查了等差数列、等比数列及前n和公式等基础知识,同时考查基本运算能力
练习册系列答案
相关题目