题目内容
已知Sn是等比数列{an}的前n项和,若S3,S9,S6成等差数列,则也成等差数列的是( )A.a1,a4,a7
B.a2,a8,a5
C.a3,a6,a9
D.a1,a3,a5
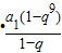
【答案】分析:油已知可得,S3+S6=2s9,结合等比数列的求和公式可求q3=
,然后结合等差数列的性质检验各选项是否 正确
解答:解:∵S3,S9,S6成等差数列,
∴S3+S6=2s9
显然公比q≠1
=2
整理可得,2q9-q6-q3=0即2q6-q3-1=0
解可得,q3=
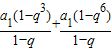
A:a1+a7=
=
,
=-
,故A不正确
B:a2+a5=a2(1+q3)=
,2
×2=
,故B正确
C:a3+a9=
=
,
=
,故C不正确
D:a1+a5=
,≠2a3,故D不正确
故选B
点评:本题主要考查了等比数列的求和公式及等差数列的性质的简单应用,还考查了基本运算
解答:解:∵S3,S9,S6成等差数列,
∴S3+S6=2s9
显然公比q≠1
整理可得,2q9-q6-q3=0即2q6-q3-1=0
解可得,q3=
A:a1+a7=
B:a2+a5=a2(1+q3)=
C:a3+a9=
D:a1+a5=
故选B
点评:本题主要考查了等比数列的求和公式及等差数列的性质的简单应用,还考查了基本运算
练习册系列答案
相关题目
已知Sn是等比数列{an}的前n项和,a5=-2,a8=16,等S6等于( )
A、
| ||
B、-
| ||
C、
| ||
D、-
|