题目内容
判断函数y=
【答案】分析:判断函数的单调性可以通过定义做,先取x1,x2∈(-1,+∞),且x1<x2,然后判定f(x1)-f(x2)的符号,最好根据定义进行判定即可.
解答:解:函数y=
的定义域为(-∞,-1)∪(-1,+∞).
f(x)在(-∞,-1)内是减函数,f(x)在(-1,+∞)内也是减函数.
证明f(x)在(-1,+∞)内是减函数.
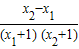
取x1,x2∈(-1,+∞),且x1<x2,那么 f(x1)-f(x2)=
,
∵x2-x1>0,(x1-1)(x2-1)>0,
∴f(x1)-f(x2)>0,
即f(x)在(-1,+∞)内是减函数.
同理可证f(x)在(-∞,-1)内是减函数.
点评:本小题主要考查函数的单调性及不等式的基础知识,考查数学推理判断能力,属于基础题.
解答:解:函数y=
f(x)在(-∞,-1)内是减函数,f(x)在(-1,+∞)内也是减函数.
证明f(x)在(-1,+∞)内是减函数.
取x1,x2∈(-1,+∞),且x1<x2,那么 f(x1)-f(x2)=
∵x2-x1>0,(x1-1)(x2-1)>0,
∴f(x1)-f(x2)>0,
即f(x)在(-1,+∞)内是减函数.
同理可证f(x)在(-∞,-1)内是减函数.
点评:本小题主要考查函数的单调性及不等式的基础知识,考查数学推理判断能力,属于基础题.
练习册系列答案
相关题目