题目内容
在△ABC中,内角A,B,C对边的边长分别是a,b,c.已知(1)若△ABC的面积等于
(2)若sinC+sin(B-A)=2sin2A,求△ABC的面积.
【答案】分析:(Ⅰ)先通过余弦定理求出a,b的关系式;再通过正弦定理及三角形的面积求出a,b的另一关系式,最后联立方程求出a,b的值.
(Ⅱ)通过C=π-(A+B)及二倍角公式及sinC+sin(B-A)=2sin2A,求出∴sinBcosA=2sinAcosA.当cosA=0时求出a,b的值进而通过
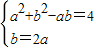
absinC求出三角形的面积;当cosA≠0时,由正弦定理得b=2a,联立方程解得a,b的值进而通过
absinC求出三角形的面积.
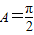
解答:解:(Ⅰ)∵c=2,C=
,c2=a2+b2-2abcosC
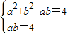
∴a2+b2-ab=4,
又∵△ABC的面积等于
,
∴
,
∴ab=4
联立方程组
,解得a=2,b=2
(Ⅱ)∵sinC+sin(B-A)=sin(B+A)+sin(B-A)=2sin2A=4sinAcosA,
∴sinBcosA=2sinAcosA
当cosA=0时,
,
,
,
,求得此时
当cosA≠0时,得sinB=2sinA,由正弦定理得b=2a,
联立方程组
解得
,
.
所以△ABC的面积
综上知△ABC的面积
点评:本小题主要考查三角形的边角关系,三角函数公式等基础知识,考查综合应用三角函数有关知识的能力.
(Ⅱ)通过C=π-(A+B)及二倍角公式及sinC+sin(B-A)=2sin2A,求出∴sinBcosA=2sinAcosA.当cosA=0时求出a,b的值进而通过
解答:解:(Ⅰ)∵c=2,C=
∴a2+b2-ab=4,
又∵△ABC的面积等于
∴
∴ab=4
联立方程组
(Ⅱ)∵sinC+sin(B-A)=sin(B+A)+sin(B-A)=2sin2A=4sinAcosA,
∴sinBcosA=2sinAcosA
当cosA=0时,
当cosA≠0时,得sinB=2sinA,由正弦定理得b=2a,
联立方程组
所以△ABC的面积
综上知△ABC的面积
点评:本小题主要考查三角形的边角关系,三角函数公式等基础知识,考查综合应用三角函数有关知识的能力.
练习册系列答案
相关题目