题目内容
函数f(x)的定义域为D,若存在闭区间[a,b]⊆D,使得函数f(x)满足:①f(x)在[a,b]内是单调函数;②f(x)在[a,b]上的值域为[2a,2b],则称区间[a,b]为y=f(x)的“倍值区间”.下列函数中存在“倍值区间”的有( )①f(x)=x2(x≥0);
②f(x)=ex(x∈R);
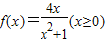
③f(x)=
④f(x)=
A.①②③④
B.①②④
C.①③④
D.①③
【答案】分析:根据函数中存在“倍值区间”,则:①f(x)在[a,b]内是单调函数;②
或
,对四个函数分别研究,从而确定是否存在“倍值区间”
解答:解:函数中存在“倍值区间”,则:①f(x)在[a,b]内是单调函数;②
或
①f(x)=x2(x≥0),若存在“倍值区间”[a,b],则
,∴
∴
∴f(x)=x2(x≥0),若存在“倍值区间”[0,2];
②f(x)=ex(x∈R),若存在“倍值区间”[a,b],则
,∴
构建函数g(x)=ex-2x,∴g′(x)=ex-2,
∴函数在(-∞,ln2)上单调减,在(ln2,+∞)上单调增,
∴函数在x=ln2处取得极小值,且为最小值.
∵g(ln2)=2-2ln2>0,∴g(x)>0恒成立,∴ex-2x=0无解,故函数不存在“倍值区间”;
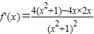
③
,
=
若存在“倍值区间”[a,b]⊆[0,1],则
,∴
,∴a=0,b=1,若存在“倍值区间”[0,1];
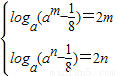
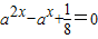
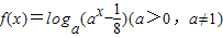
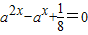
④
.不妨设a>1,则函数在定义域内为单调增函数
若存在“倍值区间”[m,n],则
,必有
,
必有m,n是方程
的两个根,
必有m,n是方程
的两个根,
由于
存在两个不等式的根,故存在“倍值区间”[m,n];
综上知,所给函数中存在“倍值区间”的有①③④
故选C.
点评:本题考查新定义,考查学生分析解决问题的能力,涉及知识点较多,需要谨慎计算.
解答:解:函数中存在“倍值区间”,则:①f(x)在[a,b]内是单调函数;②
①f(x)=x2(x≥0),若存在“倍值区间”[a,b],则
∴f(x)=x2(x≥0),若存在“倍值区间”[0,2];
②f(x)=ex(x∈R),若存在“倍值区间”[a,b],则
构建函数g(x)=ex-2x,∴g′(x)=ex-2,
∴函数在(-∞,ln2)上单调减,在(ln2,+∞)上单调增,
∴函数在x=ln2处取得极小值,且为最小值.
∵g(ln2)=2-2ln2>0,∴g(x)>0恒成立,∴ex-2x=0无解,故函数不存在“倍值区间”;
③
若存在“倍值区间”[a,b]⊆[0,1],则
④
若存在“倍值区间”[m,n],则
必有m,n是方程
必有m,n是方程
由于
综上知,所给函数中存在“倍值区间”的有①③④
故选C.
点评:本题考查新定义,考查学生分析解决问题的能力,涉及知识点较多,需要谨慎计算.
练习册系列答案
相关题目
若函数f(x)的定义域为[-1,2],则函数
的定义域为( )
| f(x+2) |
| x |
| A、[-1,0)∪(0,2] |
| B、[-3,0) |
| C、[1,4] |
| D、(0,2] |