题目内容
定义运算:A.-1,1
B.(-1,1)
C.1
D.-1
【答案】分析:根据所定义的新函数,写出f(x)的表示形式,要求分段函数的零点,写出在两段上函数分别等于0的x的值,得到结果.
解答:解:利用指数函数图象与性质得出
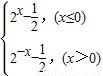
f(x)=
,
当x≤0时,令2x-2-1=0,得x=-1
当x>0时,令2-x-2-1=0,得x=1
∴f(x)的零点是-1,1
故选A.
点评:本题考查函数的零点,本题解题的关键是看出分段函数的形式,写出使得函数等于0时的自变量的值.
解答:解:利用指数函数图象与性质得出
f(x)=
当x≤0时,令2x-2-1=0,得x=-1
当x>0时,令2-x-2-1=0,得x=1
∴f(x)的零点是-1,1
故选A.
点评:本题考查函数的零点,本题解题的关键是看出分段函数的形式,写出使得函数等于0时的自变量的值.
练习册系列答案
相关题目