题目内容
等比数列{an}的前n项和为Sn,已知对任意的n∈N*,点(n,Sn),均在函数y=bx+r(b>0)且b≠1,b,r均为常数)的图象上.(1)求r的值;
(2)当b=2时,记bn=
【答案】分析:(1)由“对任意的n∈N+,点(n,Sn),均在函数y=bx+r(b>0,且b≠1,b,r均为常数)的图象上”可得到Sn=bn+r,依次求出a1、a2、a3,由等比数列的性质(a2)2=a1×a3,解可得答案.
(2)结合(1)可知an=(b-1)bn-1=2n-1,从而bn=
,符合一个等差数列与等比数列相应项之积的形式,用错位相减法求解即可.
解答:解:因为对任意的n∈N+,点(n,Sn),均在函数y=bx+r(b>0,且b≠1,b,r均为常数)的图象上.
所以得Sn=bn+r,
当n=1时,a1=S1=b+r,
a2=S2-S1=b2+r-(b1+r)=b2-b1=(b-1)b,
a3=S3-S2=b3+r-(b2+r)=b3-b2=(b-1)b2,
又因为{an}为等比数列,所以(a2)2=a1×a3,
解可得r=-1,
(2)当b=2时,an=(b-1)bn-1=2n-1,bn=
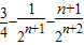
则Tn=
Tn=
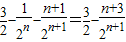
相减,得
Tn=
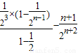
+
=
所以Tn=
点评:本题主要考查数列与函数的综合运用,主要涉及了数列的通项与前n项和间的关系,错位相减法求和等问题,属中档题,是常考类型.
(2)结合(1)可知an=(b-1)bn-1=2n-1,从而bn=
解答:解:因为对任意的n∈N+,点(n,Sn),均在函数y=bx+r(b>0,且b≠1,b,r均为常数)的图象上.
所以得Sn=bn+r,
当n=1时,a1=S1=b+r,
a2=S2-S1=b2+r-(b1+r)=b2-b1=(b-1)b,
a3=S3-S2=b3+r-(b2+r)=b3-b2=(b-1)b2,
又因为{an}为等比数列,所以(a2)2=a1×a3,
解可得r=-1,
(2)当b=2时,an=(b-1)bn-1=2n-1,bn=
则Tn=
相减,得
所以Tn=
点评:本题主要考查数列与函数的综合运用,主要涉及了数列的通项与前n项和间的关系,错位相减法求和等问题,属中档题,是常考类型.
练习册系列答案
相关题目