题目内容
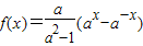
已知函数f(x)满足f(logax)=(1)对于函数f(x),当x∈(-1,1)时,f(1-m)+f(1-m2)<0,求实数m的集合;
(2)当x∈(-∞,2)时,f(x-4)的值恒为负数,求a的取值范围.
【答案】分析:(1)首先根据题意,用换元法求出f(x)的解析式,进而分析函数的单调性和奇偶性,将已知不等式转化为f(1-m)<f(m2-1),进而转化为
,解可得答案;
(2)由(1)中的单调性可将f(x-4)的值恒为负数转化为f(2)-4≤0,解不等式即可.
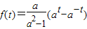
解答:解:(1)根据题意,令logax=t,则x=at,
所以
,即
当a>1时,因为ax-a-x为增函数,且
>0,所以f(x)在(-1,1)上为增函数;
当0<a<1时,因为ax-a-x为减函数,且
<0,所以f(x)在(-1,1)上为增函数;
综上所述,f(x)在(-1,1)上为增函数.
又因为f(-x)=
=-f(x),故f(x)为奇函数.
所以f(1-m)+f(1-m2)<0?f(1-m)<-f(1-m2)?f(1-m)<f(m2-1)
由f(x)在(-1,1)上为增函数,可得
解得1<m<
,即m的值的集合为{m|1<m<
}
(2)由(1)可知,f(x)为增函数,
则要使x∈(-∞,2),f(x)-4的值恒为负数,
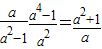
只要f(2)-4<0即可,即f(2)=
=
<4,又a>0
解得
又a≠1,可得符合条件的a的取值范围是(2-
,1)∪(1,2+
).
点评:本题考查函数奇偶性与单调性的综合运用,是综合题,解题时尤其注意正确求解不等式组的解集.
(2)由(1)中的单调性可将f(x-4)的值恒为负数转化为f(2)-4≤0,解不等式即可.
解答:解:(1)根据题意,令logax=t,则x=at,
所以
当a>1时,因为ax-a-x为增函数,且
当0<a<1时,因为ax-a-x为减函数,且
综上所述,f(x)在(-1,1)上为增函数.
又因为f(-x)=
所以f(1-m)+f(1-m2)<0?f(1-m)<-f(1-m2)?f(1-m)<f(m2-1)
由f(x)在(-1,1)上为增函数,可得
解得1<m<
(2)由(1)可知,f(x)为增函数,
则要使x∈(-∞,2),f(x)-4的值恒为负数,
只要f(2)-4<0即可,即f(2)=
解得
又a≠1,可得符合条件的a的取值范围是(2-
点评:本题考查函数奇偶性与单调性的综合运用,是综合题,解题时尤其注意正确求解不等式组的解集.
练习册系列答案
相关题目