题目内容
已知数列
各项均不为0,其前
项和为
,且对任意
都有
,令
![]()
(1) 求
;
(2) 求证:
,(
).![]()
解:(1) ∵
,
![]()
在①中令
,可得
.
∴
是首项为
,公比为3的等比数列,
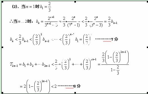
. …………4分
(
)…………5分
![]()
另一方面,当
,
时,
![]()
![]()
![]()
…………10分
(当且仅当
时取等号).…………11分
综上所述,
,
练习册系列答案
相关题目
题目内容
已知数列
各项均不为0,其前
项和为
,且对任意
都有
,令
![]()
(1) 求
;
(2) 求证:
,(
).![]()
解:(1) ∵
,
![]()
在①中令
,可得
.
∴
是首项为
,公比为3的等比数列,
. …………4分
(
)…………5分
![]()
另一方面,当
,
时,
![]()
![]()
![]()
…………10分
(当且仅当
时取等号).…………11分
综上所述,
,