题目内容
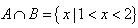
(本小题共10分) 已知集合A=,B=,C=①求A∩B;②若(A∩B)C,求m的取值范围。
①②
解析
(本小题共10分)三棱柱ABC—A1B1C1中,CC1⊥平面ABC,△ABC是边长为2的等边三角形,D为AB边中点,且CC1=2AB.(1)(4′)求证:平面C1CD⊥平面ABC;(2)(6′)求三棱锥D—CBB1的体积.
(本小题共10分)
已知的三个角的对边分别为,且成等差数列,且。数列是等比数列,且首项,公比为。
(1)求数列的通项公式;
(2)若,求数列的前项和。
(本小题共10分)(注意:在试题卷上作答无效)
斜三角形ABC的面积为S,且,且,求
(本小题共10分) 已知集合A=,B=,C=
①求A∩B;
②若(A∩B)C,求m的取值范围。
已知为等差数列,且,。
(Ⅰ)求的通项公式;
(Ⅱ)若等比数列满足,,求的前n项和公式