题目内容

定议在上的单调函数满足,且对任意都有

(1)求证:为奇函数;

(2)若对任意恒成立,求实数的取值范围.

 

【答案】

(1)详见解析:(2).

【解析】

试题分析:(1)赋值法求解,再寻找之间的关系;(2)先研究函数的单调性,再利用奇偶性化为,即对任意的恒成立,再转化为二次函数知识求解.本题考查了恒成立问题以及化归与转化思想.

试题解析:(1)证明:

,代入①式,得

,代入①式,得,又

则有对任意成立,

所以是奇函数.                             4分

(2)解:,即,又上是单调函数,

所以上是增函数.

又由(1)是奇函数.

对任意成立.

,问题等价于对任意恒成立.         8分

其对称轴.

时,即时,,符合题意;

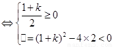
时,对任意恒成立

解得                          12分

综上所述当时,对任意恒成立.

考点:1.函数奇偶性的证明;2.二次函数恒成立问题;3.化归与转化思想.

 

练习册系列答案
相关题目

违法和不良信息举报电话:027-86699610 举报邮箱:58377363@163.com

精英家教网