题目内容
若不等式(m2-2m-3)x2-(m-3)x-1<0的解集为R,求实数m的取值范围.
解:(1)若m2-2m-3=0.则m=3或m=-1,
①若m=3,原不等式的解集为R;
②若m=-1,原不等式化为4x-1<0,则原不等式的解集为
,不合题设条件,舍去;
(2)若m2-2m-3≠0,依题意,得
,
解得
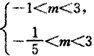
,即
,
∴
<m≤3,
综上,实数m的取值范围是(
,3]。
①若m=3,原不等式的解集为R;
②若m=-1,原不等式化为4x-1<0,则原不等式的解集为
(2)若m2-2m-3≠0,依题意,得
解得
∴
综上,实数m的取值范围是(
练习册系列答案
相关题目