题目内容
如图所示的曲线是函数f(x)=x3+bx2+cx+d的大致图像,求x12+x22的值。
![]()
解:∵图像过原点,
∴d=0,
∵图像过(-1,0),(2,0)点,
∴f(-1)=0,f(2)=0,
∴
,解得b=-1,c=-2,
∴
,
∴
,
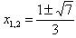
令
,
解得:
,
∴
。
∴d=0,
∵图像过(-1,0),(2,0)点,
∴f(-1)=0,f(2)=0,
∴
∴
∴
令
解得:
∴
练习册系列答案
相关题目
A、
| ||
B、
| ||
C、
| ||
D、
|