题目内容
(1)已知10a=2,10b=5,10c=3,求103a-2b+c的值.(2)计算:(
【答案】分析:(1)(2)利用指数幂的运算性质即可得出;
解答:解:(1)103a-2b+c=
=
=
.
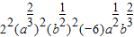
(2)原式=

=
=
.
点评:熟练掌握指数幂的运算性质是解题的关键.
解答:解:(1)103a-2b+c=
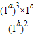
(2)原式=
=
=
点评:熟练掌握指数幂的运算性质是解题的关键.
练习册系列答案
相关题目
题目内容
(1)已知10a=2,10b=5,10c=3,求103a-2b+c的值.