题目内容
已知
为钝角,且
,则与角
终边相同的角
的集合为
.
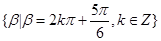
【答案】
![]()
【解析】
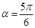
试题分析:由
为钝角,且
,得
,所以与角
终边相同的角
的集合为
,当然也可写成
,但注意制度要统一,不要丢掉
.
考点:特殊角的三角函数、终边相同角的集合.
练习册系列答案
相关题目