题目内容
椭圆A.
B.
C.6
D.7
【答案】分析:设M的坐标,求出点P的坐标,再利用两点间的距离公式,即可求得结论.
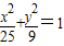
解答:解:椭圆
的左焦点为F1(-4,0)
设点M的坐标为(0,m),
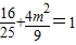
根据中点坐标公式知道点P的坐标为(4,2m)代入椭圆的方程得
∴m=±
∴P(4,±
)
∴|PF1|=
=
故选A.
点评:通过中点坐标转移到椭圆上的坐标代入已知方程是我们常用的一种方法,往往我们采用待定系数法.
解答:解:椭圆
设点M的坐标为(0,m),
根据中点坐标公式知道点P的坐标为(4,2m)代入椭圆的方程得
∴m=±
∴P(4,±
∴|PF1|=
故选A.
点评:通过中点坐标转移到椭圆上的坐标代入已知方程是我们常用的一种方法,往往我们采用待定系数法.
练习册系列答案
相关题目
以椭圆的右焦点F2为圆心的圆恰好过椭圆的中心,交椭圆于点M、N,椭圆的左焦点为F1,且直线MF1与此圆相切,则椭圆的离心率e为( )
A、
| ||||
B、2-
| ||||
C、
| ||||
D、
|